LaTeX

Zulip поддерживает набор математических формул на базе KaTeX. Их таблица поддержки полезна, чтобы проверить, что поддерживается, или как выразить нужную запись.

Вставить разметку LaTeX

В окне ввода Zulip есть умная кнопка Math (LaTeX) (), которая вставляет подходящую разметку LaTeX в зависимости от контекста:

  • Если текст не выделен, вставляется разметка отображаемого LaTeX (```math).
  • Если выделенный текст в одной строке, вставляется разметка inline LaTeX ($$).
  • Если выделенный текст в нескольких строках, вставляется разметка отображаемого LaTeX (```math).

  1. Откройте окно ввода.

  2. (необязательно) Выделите текст, который хотите отформатировать.

  3. Нажмите значок Math (LaTeX) () внизу окна ввода, чтобы вставить разметку LaTeX.

Совет

Можно также использовать значок Math (LaTeX) (), чтобы убрать существующее форматирование LaTeX из выделенного текста.

  1. Откройте окно ввода.

  2. Для inline LaTeX используйте двойные знаки доллара ($$) вокруг текста:

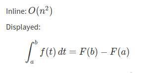
    $$O(n^2)$$
    

    Для отображаемого LaTeX используйте тройные обратные кавычки и слово math (```math), затем текст, и в конце снова тройные обратные кавычки:

    ``` math
    \int_a^b f(t)\, dt = F(b) - F(a)
    ```
    

Примеры

Что вы вводите

Inline: $$O(n^2)$$

Displayed:
``` math
\int_a^b f(t)\, dt = F(b) - F(a)
```

Как это выглядит

LaTeX в Markdown

Копирование и вставка отформатированного LaTeX

Копировать LaTeX из сообщения в Zulip

Zulip поддерживает цитирование, пересылку или копирование математических выражений и вставку их в окно ввода.

Совет

Если вы выделите только часть математического выражения для копирования, Zulip автоматически расширит выделение, чтобы скопировать выражение целиком.

Копировать LaTeX с внешнего сайта

Вы можете копировать LaTeX со многих сторонних сайтов, которые используют KaTeX, и вставлять его в Zulip.

Совет

Если копирование формул с сайта не работает, попробуйте связаться с администраторами сайта, используя информацию ниже. Часто это легко исправить.

Эта возможность использует MathML-аннотации KaTeX, которые встраивают исходный LaTeX в HTML для математического выражения. Чтобы это работало, сайт должен:

  • Генерировать формулы через KaTeX в режиме вывода htmlAndMathml (по умолчанию) (output mode).
  • Разрешать включение MathML-аннотаций в HTML, копируемый браузером (в Zulip это было несколько строк CSS).

Похожие статьи